Настройки осей в R
В R plots вы можете изменять метки осей Y и X, добавлять и изменять метки осей, размер оси и даже устанавливать ограничения оси.
R нанесите метки x и y
По умолчанию R будет использовать имена векторов вашего графика в качестве меток осей X и Y. Однако вы можете изменить их с помощью xlab и ylab аргументов.
plot(x, y, xlab = "My X label", ylab = "My Y label")
Если вы хотите удалить метки осей, вы можете присвоить им пустую строку или задать ann аргумент равным FALSE.
# Delete labels
plot(x, y, xlab = "", ylab = "")
# Equivalent
plot(x, y, xlab = "My X label", ylab = "My Y label", ann = FALSE)
Функция оси R
Аргумент axesplot функции может быть установлен на , чтобы избежать отображения осей, поэтому, если вы хотите, вы можете добавить только одну из них сFALSE помощью axis функции и настроить ее. Передача 1 в качестве аргумента приведет к построению оси X, передача 2– к построению оси Y, 3 для верхней оси и 4 для правой оси.
plot(x, y, axes = FALSE)
# Add X-axis
axis(1)
# Add Y-axis
axis(2)
Изменение отметок оси
Также можно изменить отметки осей. С одной стороны, at аргумент axis функции позволяет указать точки, в которых будут нарисованы метки.
plot(x, y, axes = FALSE)
axis(1, at = -2:3)
С другой стороны, minor.tick функция Hmisc пакета позволяет создавать меньшие отметки между основными отметками.
# install.packages("Hmisc")
library(Hmisc)
plot(x, y)
minor.tick(nx = 3, ny = 3, tick.ratio = 0.5)
Наконец, вы можете создать внутренние галочки, указав положительное число в tck аргументе следующим образом:
# Interior ticks
plot(x, y, tck = 0.02)
Удаление меток оси
Установка аргументов xaxt или yaxt в "n"plot функции позволит избежать построения меток осей X и Y соответственно.
par(mfrow = c(1, 3))
# Remove X axis tick labels
plot(x, y, xaxt = "n", main = "xaxt = 'n'")
# Remove Y axis tick labels
plot(x, y, yaxt = "n", main = "yaxt = 'n'")
# Remove both axis tick labels
plot(x, y, yaxt = "n", xaxt = "n", main = "xaxt = 'n', yaxt = 'n'")
par(mfrow = c(1, 1))
Изменение меток оси
Метки меток осей будут пронумерованы в соответствии с нумерацией ваших данных. Тем не менее, вы можете изменить метки меток, если это необходимо, с labels помощью аргумента axis функции. Вам также нужно будет указать, где будут отображаться метки тиков с at аргументом.
par(mfrow = c(1, 2))
# Change X axis tick labels
plot(x, y, xaxt = "n")
axis(1, at = seq(round(min(x)), round(max(x)), by = 1), labels = 1:8)
# Change Y axis tick labels
plot(x, y, yaxt = "n")
axis(2, at = seq(round(min(y)), round(max(y)), by = 1), labels = 1:9)
Поворот меток осей
las Аргумент plot функции в R позволяет поворачивать метки осей ваших графиков. В следующем блоке кода вы найдете объяснение различных альтернатив.
par(mfrow = c(2, 2))
plot(x, y, las = 0, main = "Parallel") # Parallel to axis (default)
plot(x, y, las = 1, main = "Horizontal") # Horizontal
plot(x, y, las = 2, main = "Perpendicular") # Perpendicular to axis
plot(x, y, las = 3, main = "Vertical") # Vertical
par(mfrow = c(1, 1))
Установите границы оси
Вы можете увеличивать или уменьшать масштаб графика, изменяя пределы R осей графика.Эти аргументы очень полезны, чтобы избежать обрезки линий при добавлении их на график.
plot(x, y,
ylim = c(-1, 7), # Y-axis limits from -1 to 7
xlim = c(-1, 4)) # X-axis limits from -1 to 4
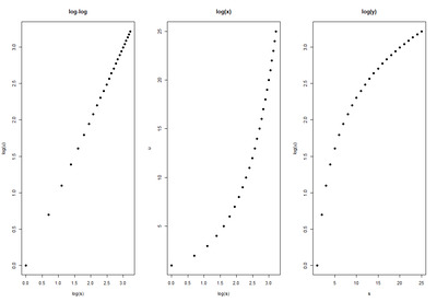
Изменение масштаба оси в R
log Аргумент позволяет изменять масштаб осей графика. Вы можете преобразовать ось X, ось Y или обе следующим образом:
# New data to avoid negative numbers
s <- 1:25
u <- 1:25
par(mfrow = c(2, 2))
# Default
plot(s, u, pch = 19,
main = "Untransformed")
# Log scale. X-axis
plot(s, u, pch = 19, log = "x",
main = "X-axis transformed")
# Log scale. Y-axis
plot(s, u, pch = 19, log = "y",
main = "Y-axis transformed")
# Log scale. X and Y axis
plot(s, u, pch = 19, log = "xy",
main = "Both transformed")
| Журнал | Преобразование |
|---|---|
| “x” | Ось X преобразована |
| “y” | Ось Y преобразована |
| “xy” | Обе оси преобразованы |
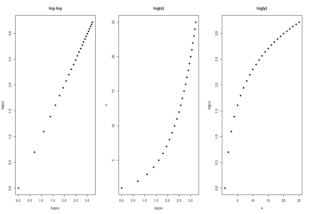
Однако вы можете подумать, что использование logфункции эквивалентно, но это не так. Как вы можете видеть на предыдущем графике, использование logаргумента не изменяет данные, но logфункция преобразует их. Посмотрите на разницу между осями следующего графика и осями предыдущего.
par(mfrow = c(1, 3))
# Log-log
plot(log(s), log(u), pch = 19,
main = "log-log")
# log(x)
plot(log(s), u, pch = 19,
main = "log(x)")
# log(y)
plot(s, log(u), pch = 19,
main = "log(y)")
par(mfrow = c(1, 1))
R нанесение шрифта
Размер шрифта
Вы также можете изменить размер шрифта на графике в формате R с cex.main помощью аргументов , cex.sub, cex.lab и cex.axis, чтобы изменить заголовок, субтитры, метки осей X и Y и метки меток осей соответственно. Обратите внимание, что при больших значениях текст будет отображаться более крупным.
plot(x, y, main = "My title", sub = "Subtitle",
cex.main = 2, # Title size
cex.sub = 1.5, # Subtitle size
cex.lab = 3, # X-axis and Y-axis labels size
cex.axis = 0.5) # Axis labels size
| Аргумент | Описание |
|---|---|
| cex.главная | Задает размер заголовка |
| cex.sub | Задает размер субтитра |
| cex.lab | Задает размер меток по осям X и Y |
| cex.ось | Задает размер меток оси тиков |
Стиль шрифта
Кроме того, вы можете изменить стиль шрифта R графиков с fontпомощью аргумента. Вы можете установить для этого аргумента значение 1 для обычного текста, 2 для жирного шрифта (по умолчанию), 3 курсивом и 4 для жирного курсива. Этот аргумент не изменит стиль заголовка.
par(mfrow = c(1, 3))
plot(x, y, font = 2, main = "Bold") # Bold
plot(x, y, font = 3, main = "Italics") # Italics
plot(x, y, font = 4, main = "Bold italics") # Bold italics
par(mfrow = c(1, 1))
Вы также можете указать стиль каждого из текстов сюжета с font.mainпомощью аргументов , font.sub, font.axisи font.lab.
plot(x, y,
main = "My title",
sub = "Subtitle",
font.main = 1, # Title font style
font.sub = 2, # Subtitle font style
font.axis = 3, # Axis tick labels font style
font.lab = 4) # Font style of X and Y axis labels
Note that, by default, the title of a plot is in bold.
| Стиль шрифта | Описание |
|---|---|
| 1 | Обычный текст |
| 2 | Жирный шрифт |
| 3 | Курсивом |
| 4 | Жирный курсив |














