Дисперсионный анализ: какой корм больше всего нравится котям?
set.seed(454)
n = 200
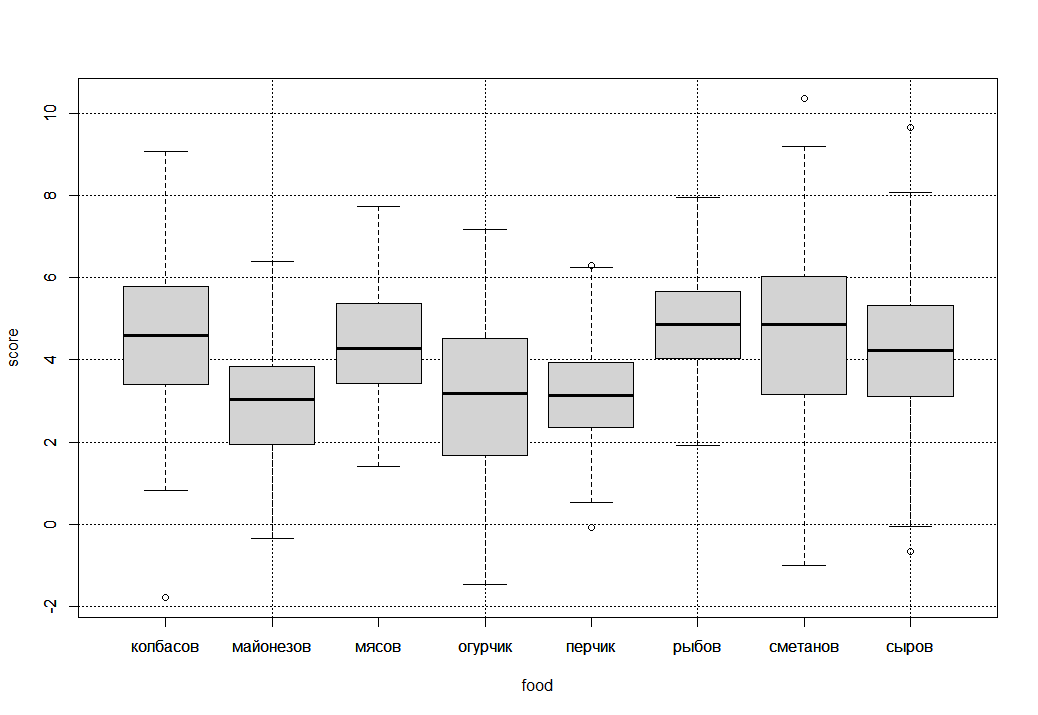
df=rbind(data.frame(food='перчик', score = rnorm(n, 3.0, 1.2)),
data.frame(food='огурчик', score = rnorm(n, 3.2, 1.9)),
data.frame(food='сыров', score = rnorm(n, 4.2, 1.8)),
data.frame(food='майонезов', score = rnorm(n, 3.2, 1.3)),
data.frame(food='колбасов', score = rnorm(n, 4.7, 1.7)),
data.frame(food='сметанов', score = rnorm(n, 4.6, 2.3)),
data.frame(food='мясов', score = rnorm(n, 4.4, 1.4)),
data.frame(food='рыбов', score = rnorm(n, 4.9, 1.2)))
boxplot(score~food,df)
grid(col='black')
boxplot(score~food,df,add=T)
tfood = aov(score~food,df)
summary(tfood)
ans=TukeyHSD(tfood)
ans
a = as.data.frame(ans$food)
a[a$`p adj`>0.1,]
a[a$`p adj`<0.05,]
Tukey multiple comparisons of means 95% family-wise confidence level Fit: aov(formula = score ~ food, data = df) $food diff lwr upr p adj майонезов-колбасов -1.61452008 -2.10288111 -1.12615905 0.0000000 мясов-колбасов -0.23067708 -0.71903811 0.25768395 0.8416712 огурчик-колбасов -1.49480999 -1.98317102 -1.00644896 0.0000000 перчик-колбасов -1.42691382 -1.91527485 -0.93855279 0.0000000 рыбов-колбасов 0.22828087 -0.26008016 0.71664190 0.8488103 сметанов-колбасов -0.01060242 -0.49896345 0.47775861 1.0000000 сыров-колбасов -0.45013840 -0.93849943 0.03822263 0.0962936 мясов-майонезов 1.38384300 0.89548197 1.87220403 0.0000000 огурчик-майонезов 0.11971009 -0.36865094 0.60807112 0.9956157 перчик-майонезов 0.18760626 -0.30075477 0.67596729 0.9414286 рыбов-майонезов 1.84280095 1.35443992 2.33116198 0.0000000 сметанов-майонезов 1.60391766 1.11555663 2.09227869 0.0000000 сыров-майонезов 1.16438168 0.67602065 1.65274271 0.0000000 огурчик-мясов -1.26413291 -1.75249394 -0.77577188 0.0000000 перчик-мясов -1.19623674 -1.68459777 -0.70787571 0.0000000 рыбов-мясов 0.45895795 -0.02940308 0.94731898 0.0833381 сметанов-мясов 0.22007466 -0.26828637 0.70843569 0.8718677 сыров-мясов -0.21946132 -0.70782235 0.26889971 0.8735032 перчик-огурчик 0.06789617 -0.42046486 0.55625720 0.9998918 рыбов-огурчик 1.72309086 1.23472983 2.21145189 0.0000000 сметанов-огурчик 1.48420757 0.99584654 1.97256860 0.0000000 сыров-огурчик 1.04467159 0.55631056 1.53303262 0.0000000 рыбов-перчик 1.65519469 1.16683366 2.14355572 0.0000000 сметанов-перчик 1.41631140 0.92795037 1.90467243 0.0000000 сыров-перчик 0.97677542 0.48841439 1.46513645 0.0000000 сметанов-рыбов -0.23888329 -0.72724432 0.24947774 0.8158805 сыров-рыбов -0.67841927 -1.16678030 -0.19005824 0.0006899 сыров-сметанов -0.43953598 -0.92789701 0.04882505 0.1139368 |
